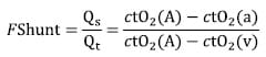
シャント割合(FShunt)は、肺胞内で完全に酸素化されることなく肺を通過する血液の比率です。FShunt はシャントした心拍出量(Qs)と総心拍出量(Qt)との間の割合です。肺胞気動脈酸素濃度較差と肺胞気混合静脈酸素濃度較差の比として計算されます。よって、以下のように表すことができます。
ctO2(A):肺胞血中の総酸素量
ctO2(a):動脈血中の総酸素量
ctO2(v):混合静脈血中の総酸素量
例:FShuntが0.1ということは、静脈血の10%が酸素化されずに肺を通過し、その後完全に酸素化された血液と交じり合うことを意味します。
FShunt基準範囲(成人)-例: 4~10%(0.04~0.10)
換気血流比、死腔とシャント
肺胞に届く空気と血液の量の間の関係は換気血流(V/Q)比と称されます。V/Q比が1に等しいということは、換気と血流が正常な状態であるということです。
詳細についてはAcute care testingハンドブックを参照してください。
FShuntはなぜ使用するのか?
FShuntは肺内の適正酸素摂取の指標として使用され、肺組織がどの程度低酸素血症に影響しているかを明らかにします。重篤症例の場合、FShunt計算値は肺の酸素運搬能の評価において信頼性の高い指標と言えます。
FShuntはいつ使用すべきか?
FShuntは、心疾患などに起因する重度呼吸器系疾患や呼吸不全の重篤症例の診断、評価、モニターに有用です。
肺動脈カテーテルを装着した重篤症例のFShuntの解釈
Acute care testingハンドブックを参照してください。
FShunt上昇の原因
Acute care testingハンドブックを参照してください。
FShunt上昇に伴う症状
FShuntが上昇した場合にみられる症状は、pO2低下に伴う症状と同一です(pO2を参照)。
