
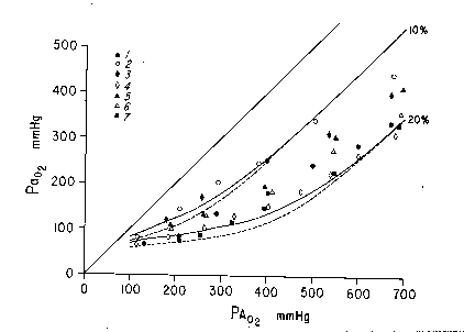
ARDS患者7例で吸入気酸素濃度を幅広く変化させてその際のPAo2とPao2の関係を調べたもの。筆者(諏訪邦夫)自身のデータ。中間の吸入気酸素濃度で一度改善した後に吸入気酸素濃度が極端に高くなると再び悪化する傾向が見られる。点線と実線は等シャント線。前提条件を少し変えて2種類計算してある。

ARDS患者7例で吸入気酸素濃度を幅広く変化させてその際のPAo2とPao2の関係を調べたもの。筆者(諏訪邦夫)自身のデータ。中間の吸入気酸素濃度で一度改善した後に吸入気酸素濃度が極端に高くなると再び悪化する傾向が見られる。点線と実線は等シャント線。前提条件を少し変えて2種類計算してある。